10/05/2024
Bước 1: Xác định bán kính làm việc.
Bước 2: Tính giá trị LBP cho pixel ở trung tâm (xc, yc) khối ảnh dựa trên thông tin của các pixel lân cận:
Trong đó, (gp) là giá trị grayscale của các pixel lân cận, (gc) là giá trị grayscale của các trung tâm và (s) là hàm nhị phân được xác định như sau: s(z) = 1 nếu giá trị z ≥0.
Ví dụ:

Hình 1. Các biến thể của LBP LBP đồng dạng.
1*20 + 1*21 + 1*22 + 1*23 + 0*24 + 0*25 + 0*26 + 0*27 = 15.
Một mẫu nhị phân được gọi là đồng dạng khi xét chuỗi bit xoay vòng thì có nhiều nhất là 2 lần thay đổi (transitions) từ giá trị bit 0 sang 1 hoặc từ giá trị bit 1 sang 0. Ví dụ: 00000000 có 0 transitions, 01110000 có 2 transitions, 11001111 có 2 transitions nên đây là uniform LBP. 11001001 có 4 transitions, 01010011 có 6 transitions nên không phải là uniform LBP.
Dựa trên định nghĩa này, bảng ánh xạ cho bán kính làm việc P -neighbours sẽ có P(P-1) + 3 nhãn. Có nghĩa là có 59 nhãn trong trường hợp làm việc với 8-neighbour. Hình vẽ sau đây thể hiện 59 nhãn (mẫu) và minh họa về histogram của đặc trưng LBP đồng dạng.

Hình 2. Bảng thống kê các mẫu của uniform LBP
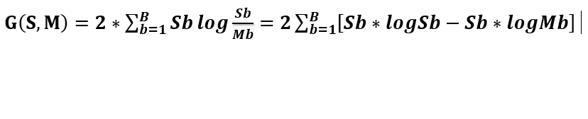
Trong phân lớp, sự khác biệt giữa mẫu và mô hình phân phối LBP được đánh giả bởi kiểm tra thống kê không tham biến. Phương pháp tiếp cận này có ưu điểm là không cần phải có những giả thiết về phân phối của các đặc trưng. Thông thường, những kiểm tra thống kê được chọn cho mục đích là nguyên lýcrossentropy được giới thiệu bởi Kullback (1968). Sau đó, Sokal và Rohlf (1969) gọi cách đo này là thống kê G.

Với S, M kí hiệu phân phối mẫu và mô hình mong muốn. Sb và Mb là xác suất để b thuộc vào phân phối mẫu hoặc mô hình. B là số phần tử trong phân phối. Thống kê G sử dụng trong phân lớp có thể viết lại như sau:
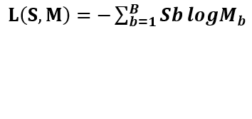
Kiến trúc mô hình có thể xem như xử lý ngẫu nhiên có đặc tính có thể xác định bởi phân phối LBP. Trong một phân lớp đơn giản, mỗi lớp được biểu diễn bởi một mô hình phân phối đơn giản Mi. Tương tự , một kiến trúc mẫu không xác định có thể miêu tả bởi phân phối S. L là một giả ma trận đo khả năng mẫu S có thể thuộc lớp i.
Lớp C của một mẫu không xác định có thể được xác định bởi luật “hàng xóm gần nhất”: C = argminiL(S, Mi)
Bên cạnh đó, một thống kê log- likelihood có thể xem như đơn vị đo sự khác biệt và có thể sử dụng để liên kết nhiều bộ phân lớp giống như bộ phân lớp k-NN hoặc self-oganizing map (SOM). Log-likelihood đúng trong một số trường hợp nhưng không ổn định khi mà cỡ mẫu nhỏ.Trong trường hợp này Chi-square- distance thường cho kết quả tốt hơn:
Để đạt được độ chính xác cao sử dụng giao histogram
LBP bất biến với phép quay. Giả sử Iα(x, y) là ảnh quay góc (α) của ảnh I(x, y). Với phép quay này điểm ảnh (x, y) sẽ nằm tại vị trí (x', y') như hình vẽ sau đây (hình trái). Trong ví dụ này (hình phải): tất cả 8 mẫu LBP bên dưới được ánh xạ về mẫu LBP đầu tiên vì mẫu đầu tiên cho giá trị nhỏ nhất.

Hình 3. Minh họa các trường hợp của LBP khi quay với góc 15
LBP đồng dạng có khả năng bất biến với phép quay Kết hợp của mẫu LBP đồng dạng và LBP bất biến với phép quay có thể tạo nên một dạng biến thể khác của LBP (uniform rotation – invariant LBP). Dựa trên định nghĩa này, bảng ánh xạ cho bán kính làm việc P-neighbors sẽ có P + 2 nhãn (label). Có nghĩa là có 10 nhãn trong trường hợp làm việc với 8-neighbour.
Để không bịảnh hưởng bởi sự quay, mỗi giá trị LBP cần quay ngược lại về vị trí ban đầu, cách tốt nhất là tạo ra tất cả các trường hợp quay của một mẫu, sự quay có thể định nghĩa như sau:
Trong đó ri là viết tắt của rotation invariant (quay bất biến), ROR(x,i) dịch vòng tròn số nhị phân P - bit (x) i lần theo chiều kim đồng hồ.
Kết cấu có thể được coi là một hiện tượng hai chiều được đặc trưng bởi hai đặc tính trực giao: cấu trúc không gian (mô hình) và độ tương phản (độ mạnh của mô hình). Quay bất biến tương phản cục bộ có thể được đo trong một hình tròn đối xứng xung quanh giống như LBP:
Giá trị đặc trưng LBP tính được như sau:
Hình 4. Ví dụ về quá trình tính toán đặc trưng



Ưu điểm: Thuật toán trích rút đặc trưng LBP cài đặt đơn giản, thời gian tính toán giá trị đặc trưng nhanh vì nó làm việc với giá trị nguyên.
Nhược điểm: Độ chính xác không cao bằng thuật toán Haar-like.