18/06/2021
Trong hệ thống truyền thông sử dụng kỹ thuật hỗn loạn, trong đó tin tức được cộng với tín hiệu hỗn loạn trước khi đưa lên kênh truyền. Ở phía thu sẽ đồng bộ và khử tín hiệu hỗn loạn đi để lấy lại thông tin. Do đặc điểm của tín hiệu hỗn loạn đối với kẻ nghe trộm sẽ giống như nhiễu nên giải pháp này giúp tăng cường tính bảo mật của hệ thống.
1. Mô hình hệ thống

Trong mô hình này đối với bên truyền tín hiệu gốc mang tin tức m(t) sẽ được cộng với tín hiệu hỗn loạn x(t) trước khi được đưa lên kênh truyền. Như vậy tín hiệu trên kênh truyền sẽ là :
s(t)=m(t)+x1(t) (1)
Bên nhận do có được đầy đủ các tham số của tín hiệu hỗn loạn sẽ tiến hành đồng bộ tín hiệu hỗn loạn ở bên thu với bên phát để có được tín hiệu hỗn loạn ở bên thu . Sau khi đã được đồng bộ, hệ thống sẽ lấy tín hiệu thu được s(t)trừ đi tín hiệu hỗn loạn đã được đồng bộ để lấy lại tín hiệu gốc mang tin.
m’(t)=s(t)+x2(t)=m(t) (2)
Giải pháp này giúp tăng cường đặc tính bảo mật của hệ thống do tin tức đã được lẫn trong tín hiệu hỗn loạn với đặc điểm gần như là nhiễu đối với kẻ nghe trộm. Giả sử nếu có đối tượng thu trộm được tín hiệu s(t) trên kênh truyền. Do đặc điểm của tín hiệu hỗn loạnx1(t)vận động không có chu kỳ nên có đặc điểm gần giống như nhiễu giả. Đối tượng nghe lén do không có được các tham số của tín hiệu hỗn loạn sẽ hầu như không có khả năng giải mã thông tin, điều này giúp hệ thống có tính bảo mật cao.
Tuy nhiên đặc điểm không có chu kỳ của tín hiệu hỗn loạn cũng gây khó khăn rất lớn trong việc đồng bộ tín hiệu hỗn loạn giữa bên thu và bên phát. Do đó hệ thống chỉ có thể khả thi nếu giải quyết được vấn đề đồng bộ hỗn loạn của hệ thống.Trong bài báo này chúng tôi cũng đề xuất một phương pháp đồng bộ hỗn loạn với độ chính xác đạt yêu cầu để đảm bảo tính khả thi của mô hình thông tin trên
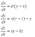
2. Tín hiệu hỗn loạn
Xét hệ thống động Lorenz liên tục 3 chiều được biễu diễn bởi hệ phương trình vi phân sau :

Trong đó x, y, z là các biến trạng thái; σ,r,b là các tham số hệ thống. Với bộ tham số σ=10, r=28, b=8/3 hệ Lorenz rơi vào trạng thái hoạt động hỗn loạn.

|
Hình 2: Quỹ đạo pha của hệ hỗn loạn Lorenz |
Hình 2 mô tả quỹ đạo pha của hệ hỗn loạn Lorenz trên, nhìn vào đó ta có thể thấy rõ hệ thống vận động không có chu kỳ, khi thời gian vận động tiến tới vô cùng, đường biễu diễn trong không gian pha không đi vào bất kỳ điểm cố định hay quỹ đạo có chu kỳ. Một đặc điểm nữa là quỹ đạo này luôn nằm trong một miền xác định của không gian pha và không bao giờ di chuyển ra khỏi vùng này
Hình 3 biểu diễn các thành phần x,y,z của hệ thống với các điều kiện đầu sai khác nhau rất nhỏ (-1, 3, 4) và (-1.001, 3, 4). Có thể nhận thấy rằng hệ thống phụ thuộc rất nhạy cảm vào điều kiện khởi động, đường di chuyển xuất phát từ các điều kiện khởi động khác nhau rất nhỏ (gần như bằng 0) sẽ phân tách rất nhanh tạo ra các quỹ đạo hoàn toàn khác nhau.
Tuy nhiên hệ Lorenz mặc dù vận động không có chu kỳ nhưng nó không phải là quá trình ngẫu nhiên. Hệ hỗn loạn Lorenz là một hệ thống xác định, được biểu diễn bằng hệ phương trình với các thông số cụ thể, không có thông số thống kê. Ta có thể xác định được hệ thống ở thời điểm t bất kỳ.

Hình 3 : Biến đổi theo thời gian của hệ hỗn loạn Lorenz với hai điều kiện đầu sai khác rất nhỏ (-1,3,4) và (-1.001,3,4)