18/06/2024
I. Thách thức đối với phương pháp định tuyến trong WSN :
Mặc dù các ứng dụng của mạng WSN là rất lớn, tuy nhiên những mạng này có một số hạn chế như giới hạn về nguồn công suất, khả năng tính toán và độ rộng băng thông. Một trong những mục tiêu thiết kế chính của WSN là kéo dài thời gian sống của mạng và tránh suy giảm kết nối nhờ các kỹ thuật quản lý năng lượng. Việc thiết kế các giao thức định tuyến trong WSN bị ảnh hưởng bởi một số yếu tố. Vấn đề này phải được giải quyết triệt để thì mới đạt được hiệu quả truyền tin trong WSN. Dưới đây sẽ tóm tắt một số khó khăn trong vấn đề định tuyến và thiết kế trong mạng WSN.
Phân bố nút: Việc phân bố nút trong WSN phụ thuộc vào ứng dụng và có thể được thực hiện bằng tay hoặc phân bố ngẫu nhiên. Khi phân bố bằng tay, số liệu được định tuyến thông qua các đường xác định trước. Tuy nhiên khi phân bố các nút ngẫu nhiên sẽ tạo ra một cấu trúc định tuyến đặc biệt (ad-hoc). Liên lạc giữa các nút cảm biến thường có cự ly ngắn do các hạn chế về năng lượng và băng thông. Do đó việc định tuyến sẽ thực hiện qua nhiều bước nhảy.
Tiêu thụ năng lượng không được làm mất độ chính xác: Các nút cảm biến có thể sử dụng quá các giới hạn về công suất để thực hiện tính toán và truyền tin trong môi trường vô tuyến. Thời gian sống của nút cảm biến phụ thuộc rất nhiều vào thời gian sử dụng của pin.Trong WSN đa bước nhảy, mỗi nút đóng hai vai trò là truyền số liệu và định tuyến. Một số nút cảm biến hoạt động sai chức năng do lỗi nguồn công suất có thể gây ra sự thay đổi cấu hình mạng nghiêm trọng và phải định tuyến lại các gói hoặc tổ chức lại mạng.
Phương pháp báo cáo số liệu: Việc báo cáo số liệu trong WSN phụ thuộc vào ứng dụng và có thể được chia thành báo cáo theo thời gian, theo sự kiện, theo yêu cầu hoặc lai ghép những phương pháp này. Phương pháp báo cáo theo thời gian phù hợp với các ứng dụng yêu cầu giám sát số liệu định kỳ.Khi đó, các nút cảm biến sẽ bật bộ phận cảm biến và bộ phận phát theo định kỳ, cảm nhận môi trường, phát số liệu yêu cầu theo chu kỳ thời gian xác định. Trong phương pháp báo cáo theo sự kiện và theo yêu cầu, các nút cảm biến sẽ phản ứng tức thì đối với những thay đổi giá trị của thuộc tính cảm biến do xuất hiện một sự kiện xác định nào đó hoặc để trả lời một yêu cầu được tạo ra bởi nút gốc hay các nút khác trong mạng. Do vậy, những phương pháp này phù hợp với các ứng dụng phụ thuộc thời gian. Cũng có thể sử dụng kết hợp các phương pháp trên. Giao thức định tuyến chịu ảnh hưởng đáng kể từ phương pháp báo cáo số liệu về vấn đề sử dụng năng lượng và định tuyến.
Tính không đồng nhất của nút/tuyến: Trong nhiều nghiên cứu, tất cả các nút cảm biến được giả thiết là đồng nhất (nghĩa là có khả năng tính toán, khả năng truyền tin và có công suất như nhau). Tuy nhiên, tuỳ theo ứng dụng mà nút cảm có thể có vai trò hoặc khả năng khác nhau. Các nút cảm biến không đồng nhất tạo ra một số vấn đề kỹ thuật liên quan đến định tuyến. Ví dụ, một số ứng dụng có thể cần kết hợp các bộ cảm biến để giám sát nhiệt độ, áp suất, độ ẩm của môi trường, phát hiện chuyển động nhờ âm thanh, chụp ảnh hoặc ghi hình các vật chuyển động. Ngoài ra, việc đọc hoặc báo cáo số liệu từ những bộ cảm biến này có thể có tốc độ khác nhau tuỳ theo QoS và có thể thuộc nhiều mô hình báo cáo số liệu khác nhau. Ví dụ, các giao thức phân cấp chỉ rõ nút chủ nhóm khác so với các nút cảm biến bình thường khác. Những nút chủ nhóm này có thể được chọn từ các nút cảm biến phân bố hoặc các nút mạnh hơn các nút cảm biến khác về công suất, băng thông và bộ nhớ. Do đó, nhiệm vụ truyền tin tới nút gốc được tập trung bởi một nhóm các nút chủ nhóm.
Khả năng chống lỗi: Một số nút cảm biến có thể bị lỗi hoặc bị ngắt do thiếu công suất, hỏng phần cứng hoặc bị nhiễu môi trường. Sự cố của các nút cảm biến không được ảnh hưởng tới nhiệm vụ của toàn mạng cảm biến. Nếu có nhiều nút bị lỗi, các giao thức định tuyến hoặc điều khiển truy nhập môi trường (MAC) phải thành cập các tuyến mới tới nút gốc. Việc này có thể cần thiết phải điều chỉnh công suất phát và tốc độ tín hiệu trên các tuyến hiện tại để giảm sự tiêu thụ năng lượng hoặc là các gói phải định tuyến lại qua các vùng mạng có công suất khả dụng lớn hơn.
Khả năng định cỡ: số lượng nút cảm biến có thể là hàng trăm, hàng nghìn hoặc nhiều hơn. Bất kỳ phương pháp định tuyến nào cũng phải có khả năng làm việc với một số lượng lớn các nút cảm biến như vậy.
Tính động của mạng: Trong nhiều nghiên cứu, các nút cảm biến được giả thiết là cố định. Tuy nhiên trong một số ứng dụng, cả nút gốc và các nút cảm biến có thể di chuyển. Khi đó các bản tin định tuyến từ hoặc tới các nút di chuyển sẽ gặp phải các vấn đề như đường liên lạc, cấu hình mạng, năng lượng, độ rộng băng... Tuy nhiên, đối tượng thì có thể di chuyển (ví dụ ứng dụng dò tìm/theo dõi mục tiêu). Các sự kiện cố định thì cho phép mạng làm việc ở chế độ phản ứng (tạo lưu lượng khi cần báo cáo) trong khi các sự kiện chuyển động thì trong hầu hết các ứng dụng đều yêu cầu phải báo cáo định kỳ cho nút gốc.
Môi trường truyền dẫn: Trong mạng cảm biến đa bước nhảy, các nút thông tin được kết nối qua môi trường vô tuyến. Các đặc tính của kênh vô tuyến như pha đinh, tỷ lệ lỗi cũng có thể ảnh hưởng đến hoạt động của mạng cảm biến. Nói chung, độ rộng băng yêu cầu của số liệu cảm biến là thấp, khoảng từ 1-100 kb/s. Liên quan đến môi trường truyền dẫn là việc thiết kế MAC. Một phương pháp thiết kế MAC cho các mạng cảm biến là sử dụng các giao thức đa truy nhập phân chia theo thời gian (TDMA) sẽ tiết kiệm năng lượng hơn so với các giao thức đa truy nhập khác như đa truy nhập theo sóng mang (CSMA) (ví dụ IEEE 802.11). Công nghệ Bluetooth cũng có thể được sử dụng.
Khả năng giám sát: Trong WSN, mỗi nút cảm biến giám sát một vùng xác định. Vùng giám sát môi trường của nút cảm biến bị giới hạn bởi cự ly và độ chính xác, nó có thể chỉ giám sát một phạm vi rất nhỏ. Do đó, vùng giám sát cũng là một tham số thiết kế quan trọng trong WSN.
Kết hợp số liệu: Vì các nút cảm biến có thể tạo ra số liệu dư thừa nên các gói tương tự nhau từ nhiều nút có thể được kết hợp lại để giảm số lượng truyền dẫn. Việc kết hợp số liệu là từ nhiều nguồn khác nhau theo một hàm kết hợp xác định. Kỹ thuật này được sử dụng để đạt hiệu quả về năng lượng và tối ưu hoá việc truyền số liệu trong một số giao thức định tuyến.
Chất lượng dịch vụ: Trong một số ứng dụng, số liệu có thể được phân phối trong một khoảng thời gian xác định ngay khi nó cảm nhận được hiện tượng nếu không số liệu sẽ trở nên vô dụng. Vì vậy, giới hạn trễ của việc phân phối số liệu là một chỉ tiêu khác trong các ứng dụng phụ thuộc thời gian. Tuy nhiên trong một số ứng dụng khác thì việc tiêu thụ công suất (ảnh hưởng trực tiếp đến thời gian sống của mạng) lại quan trọng hơn. Khi năng lượng gần hết, mạng có thể yêu cầu giảm chất lượng các kết quả để giảm mức tiêu thụ năng lượng của nút và kéo dài thời gian sống của toàn mạng.
II.Phân loại và so sánh các giao thức định tuyến trong WSN
Nói chung, việc định tuyến trong WSN có thể được chia thành định tuyến ngang hàng, định tuyến phân cấp và định tuyến dựa theo vị trí tuỳ thuộc vào cấu trúc mạng. Trong định tuyến ngang hàng, tất cả các nút thường có vai trò hoặc chức năng như nhau. Trong định tuyến phân cấp, các nút sẽ đóng vai trò khác nhau trong mạng. Trong định tuyến dựa theo vị trí thì vị trí của các nút cảm biến được sử dụng để định tuyến số liệu.
Một giao thức định tuyến được coi là thích ứng nếu các tham số của hệ thống có thể điều khiển được để thích ứng với các trạng thái mạng hiện tại và các mức năng lượng khả dụng. Những giao thức này cũng có thể được chia thành các giao thức định tuyến đa đường, yêu cầu, hỏi/đáp, liên kết hoặc dựa vào QoS tuỳ theo cơ chế hoạt động của giao thức. Ngoài ra, các giao thức định tuyến có thể được chia thành ba loại là chủ động, tương tác hoặc lai ghép tuỳ thuộc vào cách thức mà nguồn tìm đường tới đích. Trong các giao thức chủ động, tất cả các đường được tính toán trước khi có yêu cầu, trong khi đối với các giao thức tương tác thì các đường được tính toán theo yêu cầu. Các giao thức lai ghép kết hợp cả hai quy tắc ở trên. Khi các nút cảm biến cố định, nó thích hợp với các giao thức định tuyến theo bảng hơn là với các giao thức tương tác. Một lượng công suất đáng kể được sử dụng để tìm đường và thiết lập các giao thức tương tác. Một số giao thức khác dựa vào định thời và thông tin vị trí. Để khái quát, có thể sử dụng phân loại theo cấu trúc mạng và cơ chế hoạt động của giao thức (tiêu chuẩn định tuyến) . Việc phân loại và so sánh các giao thức định tuyến trong WSN được chỉ ra trong hình 3 và bảng 1.

Hình 1: Phân loại giao thức định tuyến trong WSN
Bảng 1: Phân loại và so sánh các giao thức định tuyến trong mạng cảm biến vô tuyến

III. Đánh giá chỉ tiêu giao thức định tuyến LEACH
Giao thức định tuyến LEACH
Heinzelmanđã giới thiệu một giao thức phân cấp theo nhóm cho phép tiết kiệm năng lượng trong mạng cảm biến được gọi là phân cấp nhóm thích ứng công suất thấp (LEACH). Mục đích của LEACH là lựa chọn ngẫu nhiên các nút cảm biến làm các nút chủ, do đó việc tiêu hao năng lượng khi liên lạc với nút gốc được trải đều cho tất cả các nút cảm biến trong mạng. Quá trình hoạt động của LEACH được chia thành hai bước là bước thiết lập và bước ổn định. Thời gian của bước ổn định kéo dài hơn so với thời gian của bước thiết lập để giảm thiểu phần điều khiển.
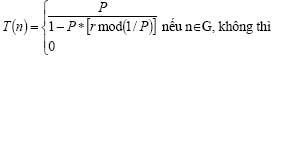
Trong bước thiết lập, một nút cảm biến lựa chọn một số ngẫu nhiên giữa 0 và 1. Nếu số này nhỏ hơn ngưỡng T(n) thì nút cảm biến là nút chủ. T(n) được tính như sau:
(1)
trong đó P là tỷ lệ phần trăm nút chủ, r chu kỳ hiện thời, và G là tập các nút không được lựa chọn là nút chủ trong 1/P chu kỳ cuối cùng. Sau khi các nút chủ được lựa chọn, những nút này sẽ thông báo tới tất cả các nút cảm biến trong mạng rằng chúng là các nút chủ mới. Khi các nút cảm biến thu được thông báo, chúng xác định nhóm mà chúng sẽ tham gia dựa theo cường độ tín hiệu của thông báo từ các nút chủ tới các nút cảm biến. Những nút cảm biến này sẽ khai báo với nút chủ thích hợp rằng chúng sẽ là thành viên của nhóm. Sau đó các nút chủ ấn định thời gian cho các nút cảm biến gửi số liệu tới các nút chủ theo phương pháp TDMA.
Trong bước ổn định, các nút cảm biến có thể bắt đầu truyền số liệu tới các nút chủ. Các nút chủ cũng tập hợp số liệu từ các nút trong nhóm của nó trước khi gửi những số liệu này tới nút gốc. Sau một thời gian quy định cho bước ổn định, mạng lại tiếp tục bước thiết lập và bước sang một chu kỳ khác trong việc lựa chọn nút chủ
Lưu đồ quá trình thiết lập như sau:

Lưu đồ quá trình ổn định như sau:

Đánh giá về mức tiêu thụ công suất
Hình 4 là kết quả mô phỏng là cho trường hợp mạng WSN gồm 160 nút phân bố đều, công suất ban đầu của nút là 3,0, sử dụng giao thức LEACH và Truyền trực tiếp tới nút gốc. Từ đó có thể thấy rằng số nút truyền tin kết thúc sau khoảng 470 chu kỳ thời gian đối với trường hợp truyền trực tiếp và sau khoảng 685 chu kỳ thời gian đối với trường hợp sử dụng giao thức LEACH. Do đó có thể rút ra nhận xét là sử dụng giao thức LEACH sẽ tiết kiệm công suất hơn so với truyền trực tiếp đến nút gốc.

Hình 2: Khảo sát số nút truyền tin theo thời gian với 160 nút, phân bố đều,
công suất ban đầu là 3,0
Ảnh hưởng của phân bố nút tới sự tiêu thụ công suất của mạng
Hình 5 là kết quả mô phỏng là cho trường hợp mạng WSN gồm 160 nút phân bố không đều, công suất ban đầu của nút là 3,0, sử dụng giao thức LEACH và Truyền trực tiếp tới nút gốc. Từ đó có thể thấy rằng số nút truyền tin kết thúc sau khoảng 430 chu kỳ thời gian đối với trường hợp truyền trực tiếp và và sau khoảng 680 chu kỳ thời gian đối với trường hợp sử dụng giao thức LEACH. So sánh với trường hợp trong hình 4 có thể rút ra nhận xét là phân bố nút cũng ảnh hưởng đến công suất tiêu thụ của mạng. Tuy nhiên, ảnh hưởng này là không nhiều.

Hình 3: Khảo sát số nút truyền tin theo thời gian với 160 nút, phân bố không đều, công suất ban đầu là 3,0.
Các kết quả mô phỏng giao thức LEACH của mạng WSN cho thấy đây là một phương pháp định tuyến phân cấp có khả năng tiết kiệm được công suất sử dụng và kéo dài thời gian sống của mạng cảm biến. Tuy nhiên, cơ chế hoạt động của giao thức LEACH là lựa chọn số liệu được tập trung và thực hiện theo chu kỳ. Do đó, giao thức này chỉ thích hợp với yêu cầu giám sát liên tục bởi mạng cảm biến. Với ứng dụng mà người sử dụng không cần tất cả số liệu ngay lập tức thì việc truyền số liệu theo chu kỳ là không cần thiết và có thể làm tiêu tốn năng lượng vô ích. Giao thức LEACH cần tiếp tục được cải tiến để khắc phục hạn chế này.