16/04/2026

Phương pháp điều chế vector không gian (Space Vector Pulse Width Modulation – SVPWM) là một kỹ thuật điều chế tiên tiến được sử dụng rộng rãi trong các bộ nghịch lưu nguồn áp ba pha. Phương pháp này được phát triển nhằm khắc phục những hạn chế của các kỹ thuật điều chế truyền thống như SPWM, đặc biệt là trong việc tận dụng điện áp nguồn một chiều và giảm méo dạng sóng đầu ra. Trong SVPWM, hệ điện áp ba pha được biểu diễn dưới dạng một vector quay trong mặt phẳng tọa độ α-β thông qua phép biến đổi Clarke.

Vector điện áp tham chiếu này được tổng hợp từ các vector điện áp cơ bản của bộ nghịch lưu, bao gồm sáu vector hoạt động và hai vector không tương ứng với tám trạng thái đóng cắt của các van bán dẫn.

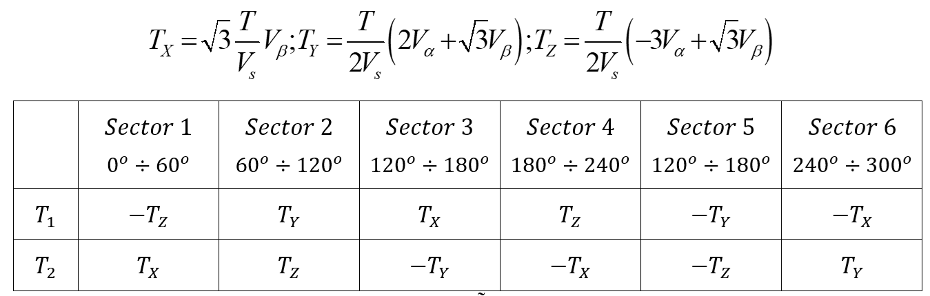
Nguyên lý hoạt động của SVPWM dựa trên việc chia mặt phẳng vector thành sáu vùng (sector), trong đó mỗi vector tham chiếu sẽ được xấp xỉ bằng tổ hợp tuyến tính của hai vector hoạt động lân cận và một vector không trong một chu kỳ lấy mẫu. Cụ thể, trong mỗi chu kỳ Ts, vector tham chiếu được tổng hợp thông qua các khoảng thời gian tác động T1, T2 và T0, sao cho tổng các khoảng thời gian này bằng chu kỳ lấy mẫu. Việc phân bố hợp lý các khoảng thời gian đóng cắt giúp tạo ra dạng sóng điện áp gần với hình sin lý tưởng hơn, đồng thời giảm số lần chuyển mạch không cần thiết.

So với phương pháp SPWM, SVPWM có nhiều ưu điểm nổi bật như khả năng tận dụng điện áp DC bus cao hơn khoảng 15%, từ đó làm tăng biên độ điện áp đầu ra. Ngoài ra, phương pháp này còn giúp giảm méo hài tổng (THD), cải thiện hiệu suất hệ thống và giảm tổn hao trên các linh kiện công suất. Tuy nhiên, SVPWM cũng có nhược điểm là thuật toán phức tạp hơn, yêu cầu khả năng tính toán nhanh và chính xác, do đó thường được triển khai trên các bộ vi xử lý số (DSP) hoặc vi điều khiển hiệu năng cao.

Nhờ những ưu điểm vượt trội, SVPWM hiện nay được ứng dụng rộng rãi trong các hệ truyền động điện xoay chiều, đặc biệt là trong điều khiển động cơ không đồng bộ và động cơ đồng bộ nam châm vĩnh cửu. Bên cạnh đó, phương pháp này còn được sử dụng trong các bộ biến tần công nghiệp, hệ thống năng lượng tái tạo và xe điện. Có thể thấy rằng, SVPWM đóng vai trò quan trọng trong việc nâng cao chất lượng và hiệu suất của các hệ thống điện tử công suất hiện đại.